naljanurk 3

(07-06-2022, 13:48 PM)2715 Kirjutas:  Toru tehakse pikast august, mis ümbritsetakse metall- või plastkestaga.
Toru auk ja toru kest peavad olema ühepikkused, et auk torust välja ei ...
...
´90-te algupoole tavaline kuulutus KB-s, Nellis vms -s.
ostan kõrglegeeritud terastoru läbimõõduga 7,62 või 5,45mm, sobivad ka lühikesed jupid...


Vasta

Autos kuulamiseks vist ei sobi, rohkem vaatamiseks. 
https://www.youtube.com/watch?v=VdnomAtNhVU 
Mida kõike siin maamuna peal näha võib.

Инвалид информационной воины на фронте Пярну-Хииу. 
Tsiteerides John McCaini: "Venemaa on peamiselt bensiinijaam, mis teeskleb riiki"," rääkis Basse.
Vasta

(12-06-2022, 12:49 PM)aavu Kirjutas:  Autos kuulamiseks vist ei sobi, rohkem vaatamiseks. 
Päris hea ja ilusaid totse on nende militaarnaiste seas - kui vaid neid maske vahepeal poleks.
Vasta

       
Vasta

Tere!
Mind on ka eelnevalt korduvalt süüdistatud (no ütleme, pandud diagnoos) huumorimeele puudumise teemal. Hetkel oleks lihtsalt huvitav teada, kas mul on tõesti lisaks muudele puuetele ka see viga küljes?
Juumorinurk 3, mida nalja te siia pidevalt pakute, aru ma ei saa? Tahate nalja, tehke ise, ei osaka teha, vaadake siis sealt youtubest ja naerge ise, või arvate, et jeestlestel, kui naljarahval, on tingimata vaja teie jagatud hjuumorit sealt üleimselt kanalilt vaadata, siis ongi nii, nagu siin foorumis ka varemalt on kirjutatud - kes oskab vaadata, see naerab (kui on naljakas), kes ei oska vaadata, see ongi rumal ja naerab omaette, ise arvan, et tal naerust puudust ei tule.... naljanurk, nutta tahaks, aga ei nuta, ei ole nii kurb, on omal kurvemat, kui siinse (eesti rahva) omapärane (üleilmaline) hjuumorimeel, kurvastada!
Ei ütle, et kõigil teistel on vale huumorimeel, aga mina sellest jamast üldjuhul nalja ei näe! (minu viga!)
Vasta

Лаврор получает письмо от Путина.  

"Лавров, заблокируйте DW, Радио Свобода и BBC." 

Лавров: Хорошо, батька.

…..  

"Блин, Лаврор, почему в Украину больше не летают военные самолеты?!…"
Vasta

(13-06-2022, 17:30 PM)valgeratsu Kirjutas:  Лаврор получает письмо от Путина.  

"Лавров, заблокируйте DW, Радио Свобода и BBC." 

Лавров: Хорошо, батька.

…..  

"Блин, Лаврор, почему в Украину больше не летают военные самолеты?!…"

Krt hakkan vist vanaks jääma, loen ühe korra, teise, kolmada, lasen läbi tõlke ja ikka poindile pihta ei saa Big Grin
Vasta

BBC - British Broadcasting Company
ВВС - военно-воздушные силы
Vasta

Kunagi üks tubli kirjatsura, vene nimega veel, tõlkiski nii: Iisraeli BBC. Jutt oli küll sealsetest õhujõududest.

Life\'s journey is not to arrive at the grave safely in a well preserved body, but rather to skid in sideways, totally worn out, shouting \"Holy s--t!....What a ride!
Vasta

vene õigeusu kiriku seisukoht toimuvast sõjast.
Vasta

(13-06-2022, 18:57 PM)valgeratsu Kirjutas:  BBC - British Broadcasting Company
ВВС - военно-воздушные силы

Big Grin
Vasta

Venemaa president Putin on oma tervise pärast nii mures, et muutis selle isegi riigisaladuse osaks. Teda saadab pidevalt kümmekond tavaliseks valvuriks maskeerunud arsti.                            
Kuid nende hulgas on üks eriline ja asendamatu agent, kellel on ülimalt oluline missioon: koristada ära Venemaa presidendi väljaheited. Selles intervjuus räägib ta meile sellest rikkalikust sisemaailmast.
Vasta

See riigijuhtide fekaalide kojutoomise projekt pole midagi uut ja puutinile ainuomast - aegadest kus välissuhted hakkasid arenema ning riigipead välisriikides käima on nendega kaasnenud ka ülalkirjeldet tegevused (seda nii lääneriikidel, hiinlastel, sotsmaadel jne.). Kunagi oli sellest ka pikem artikkel mingis ajalooperioodikas.

Idiootidega pole mõtet vaielda - nad veavad sind enda tasemele ja lajatavad siis kogemusega /Iid-Tõstamaa/
Anna väikesele inimesele veel väiksem võim kätte ja ta arvab kohe et on Jumal taevas (või mode foorumis...)
Vasta

Natuke päris shitt-kommi elu äärealadelt. Eeldab võõrkeelest aru saamist.
Vasta




Küll idanaabri keeles aga päris andekad. Idanaabrile omaseid "matte" ka ei pritsi üllataval kombel...
Vasta

Mõtlen juba ammu, äkki võiks venekeelsel huumoril olla oma teema.
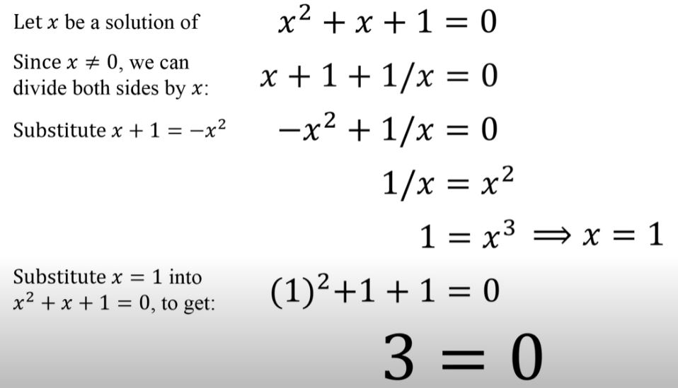
Iseasi, kas asjassepuutumatut nalja üldse on vaja siia kopeerida. Aga kui juba matemaatikahuvilised koos, siis tuleb välja, teile on eluaeg valetatud, miks keegi ei ole ausalt välja öelnud, et 3 = 0, siin on tõestus:
   
Vasta

Muude uudiste hulgast kurjuse impeeriumist lipsas ka läbi, et seal hakatakse koolides läbi viima "kainuse tunde" ja välja näevad need umbes nii:
Vasta

(18-06-2022, 12:53 PM)karlarnold Kirjutas:  Mõtlen juba ammu, äkki võiks venekeelsel huumoril olla oma teema.
Iseasi, kas asjassepuutumatut nalja üldse on vaja siia kopeerida. Aga kui juba matemaatikahuvilised koos, siis tuleb välja, teile on eluaeg valetatud, miks keegi ei ole ausalt välja öelnud, et 3 = 0, siin on tõestus:
Sinu pandud võrrandil x2+x+1=0 puudub lahend - ehk siis juba esimeses käigus on error :-)
Vasta

(21-06-2022, 09:32 AM)maaks Kirjutas:  
(18-06-2022, 12:53 PM)karlarnold Kirjutas:  Mõtlen juba ammu, äkki võiks venekeelsel huumoril olla oma teema.
Iseasi, kas asjassepuutumatut nalja üldse on vaja siia kopeerida. Aga kui juba matemaatikahuvilised koos, siis tuleb välja, teile on eluaeg valetatud, miks keegi ei ole ausalt välja öelnud, et 3 = 0, siin on tõestus:
Sinu pandud võrrandil x2+x+1=0 puudub lahend - ehk siis juba esimeses käigus on error :-)
Ei no mis mõttes? IGAL ruutvõrrandil on olemas lahend! Koolis oli mingi ruutvõrrandilahendivalem, kuhu panid kordajad võrrandist ja said vastused, kaks tükki, kui ma õigesti mäletan. Ei olnud ju mingit reeglit, mis ütles (stiilis, et "kordajate summa ei tohi olla kolm"), milline ei tohi ruutvõrrand välja näha?
Vasta

Päris nii ka ei ole, et kõik ära lahendub: sellel süsteemil ei ole lahendeid, sest sa ei suuda negatiivsest arvust ruutjuurt võtta.

Lahenduskäiku saad jälgida näiteks siit: https://www.mathpapa.com/quadratic-equat...E2+x+1%3D0
Vasta




Kasutaja, kes vaatavad seda teemat: janek p, 3 külali(st)ne